Arbeiten bei Hitze
Auch bei 35 Grad im Schatten kein Hitzefrei für ArbeitnehmerInnen. Abgesehen von der Regelung im Bauarbeiter-Schlechtwetterentschädigungsgesetz, die ab 32,5 °C für Bauarbeiter, Zimmerer, Gipser, Dachdecker, Pflasterer und Gerüster die Einstellung der Arbeiten im Freien vorsieht, gibt es keine gesetzliche Grundlage den Arbeitsplatz zu verlassen, wenn die sommerlichen Temperaturen zu hoch sind. An heißen Tagen nehmen Leistungsfähigkeit und Konzentration jedoch deutlich ab. Dies gilt sowohl bei körperlichen als auch bei geistigen Tätigkeiten. Damit leidet oft die Arbeitsqualität, Fehlerhäufigkeit und Unfallrisiko steigen.
Regelungen für's Arbeiten bei Hitze
Hitze am Arbeitsplatz wird in der Arbeitsstättenverordnung oder dem Wiener Bedienstetenschutzgesetz thematisiert. Arbeitsvorgänge und Arbeitsplätze sind so zu gestalten sind, dass keine erhebliche Beeinträchtigung durch blendendes Licht, Wärmestrahlung oder Hitze vorliegt. Bei Büroarbeiten hat die Raumtemperatur generell zwischen 19 °C und 25 °C zu betragen. Ist eine Klima- oder Lüftungsanlage vorhanden, so sollen 25 °C nicht überschritten werden. Eine verpflichtende Installation von Klima- oder Lüftungsanlagen sieht das Gesetz aber nicht vor. Sind Klima- oder Lüftungsanlagen also nicht vorhanden, sind von Arbeitgeberseite sämtliche Maßnahmen auszuschöpfen, die dazu geeignet sind die Temperatur zu senken, so z.B. nächtliches Lüften oder Sonnenschutz.
Hitzestress
Hohe Temperaturen führen bei Menschen zu einer Stresssituation und stellen bei körperlicher Aktivität, aber auch bei Ruhe, eine Belastung für Herz und Kreislauf dar. Hitze führt unter anderem zu Konzentrationsstörungen, Aggressionen, Depressionen, Herzinfarkt und Herzversagen.
Die Anfälligkeit für städtische Hitze in den Wiener Wählerbezirken zeigte Abbildung 4 im Beitrag Wiener Tropennächte. Im Tagesverlauf besonders kritisch ist grundsätzlich der Spätnachmittag, wenn die Temperatur noch hoch ist und der Wind bereits abflaut. Wenn mehrere heiße Tage aufeinander folgen, ist das Hitzerisiko besonders hoch. Neben der Analyse von Sommer- und Hitzetagen ist deshalb ein besonderes Augenmerk auf die Entwicklung der Hitzewellentage zu legen. Die Beobachtungen zeigen einen deutlichen Trend hinsichtlich der Hitzewellenentwicklung (Abbildung 7). Vor 1990 lag die jährliche Anzahl von Hitzewellentagen noch bei maximal 7, seither steigt die Anzahl rapide. Das Maximum in Wien liegt derzeit bei 28 Hitzewellentagen im Jahr 2015 an der Messstation Hohe Warte.
Wiener Stadtklima
Eine Analyse der Klimaindizes Sommer- und Hitzetage (Abbildung 1) und Hitzewelletage (Abbildung 2) anhand der Klimadaten der vergangenen Jahre für Wien – Hohe Warte [6] zeigt, dass mit 84 Sommertagen, 21 Hitzetagen, 6 Hitzewelletagen und 6 Tropennächten die realen Klimadaten aus dem Jahr 2007 nahezu dem gleitenden Mittelwert über die letzten 15 Jahre entsprechen. Für die künftigen Sommer kann die Temperaturkurve in 0,5 Gradschritten verschoben werden. So ergeben sich die in Abbildung 4 gezeigten Szenarien. Diese Verschiebung der gesamten Temperaturkurve ist insofern zulässig, da die Analyse der Klimadaten zeigt, dass sich nicht nur die Mittelwerte, sondern auch die Maximaltemperaturen, hier in Abbildung 3 für Juli gezeigt, parallel nach oben verschieben.
Das Szenario in Abb 10 zeigt die Lufttemperaturen in Wien bei einer durchschnittlichen Erhöhung der Lufttemperaturen um 1,5 °C. In den Jahren 2015, 2017 und 2019 deckten sich die Hitzetage und auch die Hitzewellentage schon in etwa mit diesem Zukunftsszenario.
Während für Gesamtösterreich in der nahen Zukunft eine mittlere Zunahme von 11 Sommer- und 4,3 Hitzetagen prognostiziert wird. gelten für Wien, bedingt durch die geografische Lage und die Städtische Wärmeinsel, weit kritischere Prognosen. Es ist für die kommenden Jahre mit einer Zunahme von 25 Sommer- und 12 Hitzetagen zu rechnen. Dies entspricht ungefähr dem Szenario „gleitender Mittelwert der letzten 15 Jahre plus 1,5 °C“ bzw. den Klimadaten aus
Die Wirksamkeit verschiedener Maßnahmen
Die beliebteste Empfehlung »viel und regelmäßig trinken«, ist zwar eine notwendige, aber nicht immer ausreichende Maßnahme, um negativen Konsequenzen von Hitzewellen vorzubeugen.
Ausflüge in den Park oder zu kühlen Orten sind trotz Telearbeit und Videokonferenz den wenigsten Menschen möglich. Hitze im Arbeitsalltag führt für für sehr viele Menschen zu einer hohen Belastung. Schon jetzt sollten Arbeitsplätze überprüft werden, damit die besten Maßnahmen für kühlere Büros gefunden werden können.
Dazu wird für ein Bürogebäude der Einfluss passiver und aktiver Maßnahmen mittels instationärer Simulationsberechnungen ermittelt. Unter Zuhilfenahme des Programmpakets Therakles werden raumbezogene Energie- und Komfortkennzahlen auf Stundenbasis berechnet. Als Ergebnisse der instationären thermischen Simulation zur Beurteilung des thermischen Komforts wird die operative Temperatur im Zeitverlauf herangezogen. Als Ergebnisgrößen werden daraus die maximal auftretende operative Temperatur, die Übertemperaturgradstunden (über 26 °C), sowie eine Klassifizierung der operativen Temperatur über dem gleitenden Mittel der Außenlufttemperatur durchgeführt, wobei die Klasse 1 den höchsten Komfort darstellt. Alle betrachten Varianten werden für mit Außenklima Wien ‚2007‘ berechnet, welches dem gleitenden Mittelwert der letzten 15 Jahre für Klimaindizes Hitzetage, Sommertage, Hitzewellentage entspricht. Darüber hinaus wird das Klimaszenario +1,5 °C und +3,0 °C berechnet. Insgesamt können 320 Varianten als Beurteilungsgrundlage herangezogen werden.
Komfortbeurteilung passiver Maßnahmen
Mit der Simulation werden in einem ersten Schritt die passiven Maßnahmen, also Varianten ohne raumlufttechnische Anlage und ohne aktive Kühldecke dargestellt. Es werden die Ergebnisse mit innen, zwischen oder außen liegendem Sonnenschutz und verschiedenen baulichen Maßnahmen zur thermischen Ertüchtigung der Außenbauteile gezeigt – so die thermische Sanierung der Fenster, die Applikation einer Innendämmung und die Dämmung der obersten Geschoßdecke.
Insbesondere in kleinen Räumen bzw. Büros mit hoher Belegungsdichte besteht ein hohes Risiko für sommerliche Überwärmung wie die Ergebnisse eines – nach süd-west orientierten Büros mit 17 m² mit einem Fenster und einem Arbeitsplatz zeigen. Eine erhebliche Anzahl von Stunden während der Nutzungszeit liegt außerhalb des Mindestkomfortbereichs und das obwohl zwischen den Fensterebenen ein Sonnenschutz liegt. Abbildung 5 zeigt diesen hohen Diskomfort anhand der Verteilung der operativen Temperatur über dem gleitenden Mittel der Außenlufttemperatur. Dieser Diskomfort kann, wie in Abbildung 6 dargestellt, durch entsprechende Sonnenschutzmaßnahmen und/oder Nachtlüftung deutlich reduziert werden.
Einfluss Sonnenschutz
Die Vielzahl der betrachteten Varianten ermöglicht es, denEinfluss einzelner Maßnahmen allgemein zu beurteilen. Dafür wird die Beurteilungsgröße abhängig von der jeweiligen Maßnahme – hier Sonnenschutz (ohne/innen/zwischen/außen) dargestellt (Abbildung 7). Daraus lässt sich eine eindeutige Tendenz erkennen und zwar, dass ein außen liegender Sonnenschutz zu den geringsten maximal empfundenen Temperaturen führt.
Einfluss thermische Sanierung der Fenster
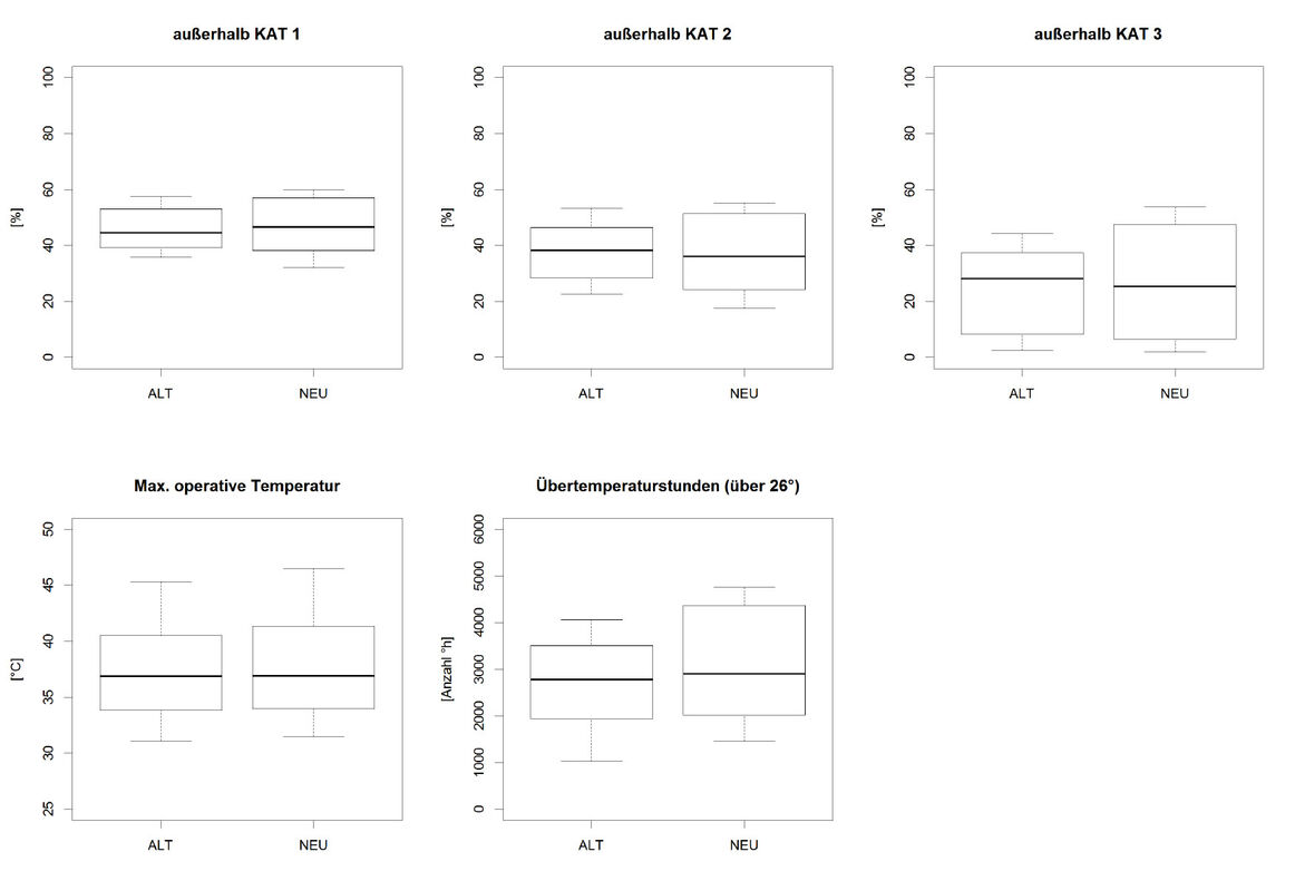
Während bei Sonnenschutz und Nachtlüftung eine klare Tendenz hinsichtlich des thermischen Komforts festgestellt werden kann, zeigt sich dass die Maßnahme „Fenster neu“ nicht zwingend zu einer Verbesserung des thermischen Komforts beiträgt. Während es in der Kategorie 1 – also der höchsten Komfortstufe – zu einer Verschlechterung durch die bessere thermische Qualität der Fenster kommt, kann der thermische Komfort in Klasse 2 und 3 – in Abhängigkeit von anderen Maßnahmen – zum Teil angehoben werden. Das Systemverhalten (Abbildung 8) ist damit als „komplex“ einzustufen.
Einfluss thermische Sanierung mit Innendämmung
Wie auch bei der thermischen Ertüchtigung der Fenster zeigt die Innendämmung ein komplexes Systemverhalten. Die Tendenz hinsichtlich thermischen Komfort im Sommer geht bei der Innendämmung – ohne aktive Maßnahmen wie Lüftung und Kühlung – in Richtung geringerem thermischen Komfort, geringfügig höheren maximalen operativen Temperaturen und einer höheren Anzahl von Übertemperaturstunden. Wichtig ist an dieser Stelle der Hinweis, dass die Maßnahmen thermische Ertüchtigung der Fenster wie auch die thermische Sanierung mittels Innendämmung in Kombination mit aktiven Maßnahmen wie Lüftung und/oder Kühlung zu einem anderen – günstigeren – thermischen Raumverhalten führen.
Komfortbeurteilung aktiver Maßnahmen
Es werden als „aktive“ Varianten eine Kühldecke, eine Lüftungsanlage mit und ohne Kühlfunktion betrachtet, wobei insbesondere auch die Kombination mit „passiven“ Varianten berücksichtigt wird. Da für die Beurteilung nicht nur die Maßnahme selbst sondern auch die Art und Weise deren Betriebs ausschlaggebend ist werden auch unterschiedliche Betriebsstrategien (Kühlen nur bei anwesendem Nutzer, Kühlen auch außerhalb der Nutzungszeiten, erhöhter Nachtluftwechsel, ..) untersucht.
Die Abbildung 9 zeigt dass der thermische Komfort beim Betrieb einer Lüftungsanlage, über die ein gewisser Nachtluftwechsel realisiert werden kann, in Kombination mit thermischer Sanierung im Jahresverlauf als akzeptabel eingestuft wird.
Einfluss RLT auf den thermischen Komfort
Die Ergebnisse in Abbildung 12 zeigen, dass der Betrieb einer Raumlufttechnischen Anlage sich nicht bei allen Betriebsstrategien positiv auf den thermischen Komfort auswirkt, allerdings kann damit der hygienische Mindestluftwechsel nutzerInnenunabhängig realisiert werden.
Einfluss Nachtlüftung bei aktiven Maßnahmen
Die Nachtlüftung (Abbildung 13) zeigt hinsichtlich der Übertemperaturstunden einen eindeutig positiven Einfluss auf den thermischen Komfort, der mit zusätzlichem Luftwechsel zunimmt.
Einfluss thermische Sanierung der Fenster
In Kombination mit aktiven Maßnahmen fällt der negative Einfluss der thermischen Sanierung der Fenster auf den thermischen Komfort geringer aus (Abbildung 14).
Einfluss thermische Sanierung mit Innendämmung
Wie auch bei der thermischen Sanierung der Fenster fällt der negative Einfluss der Innendämmung in Kombination mit aktiven Maßnahmen geringer aus und führt hinsichtlich der max. operativen Temperatur zum Teil sogar zu einer Verbesserung (Abbildung 15).
Einfluss nach Art der Kälteeinbringung
Die Kühldecke führt hinsichtlich der maximal empfundenen Temperatur zu den besten Komfortergebnissen. Eine Klimaanlage führt zu vergleichbarem Komfort und liefert hinsichtlich der Übertemperaturstunden sogar geringfügig bessere Ergebnisse (Abbildung 16).
Dimensionierung der Kühlleistung
Grundsätzlich können bei der Dimensionierung der Kälteanlage bzw. des Systems zur Kälteabgabe verschiedene Strategien verfolgt werden. Es gilt daher ein sinnvolles Maß in der Auslegung zu finden, bei dem der höchstmögliche thermische Komfort – auch im Hinblick auf zukünftige Klimaentwicklung – unter wirtschaftlich und technisch sinnvollen Bedingungen realisiert wird.
Abbildung 17 zeigt, dass bei einer maximalen Leistungsabgabe von 30 W/m² die maximal mögliche Kälteabgabe im Raum auf 900 W begrenzt ist, die Spitzenleistung aber bei 2.500 W liegt, was in diesem Fall nur durch das System mit einer spezifischen Leistungsabgabe von 90 W/m² realisiert werden kann. Es stellt sich also die Frage ob unbedingt ein System mit 90 W/m² erforderlich ist oder ob auch mit einem System mit 30 oder 60 W/m² ein ausreichender thermischer Komfort realisiert werden kann.
Den Kühllastverlauf mit Kühldecke für den nach süd-west orientierten Modellraum in der heißesten Woche zeigt Abbildung 17. Bei einer spezifischen Kühlleistung von 30 W/m² zeigt sich dass die Wärmeabfuhr durch die maximal mögliche Leistungsaufnahme über eine längere Zeitdauer hinweg begrenzt ist. Eine Steigerung der spezifischen Kühlleistung auf 60 W/m² zeigt, dass diese Zeitdauer eines erhöhten Leistungsbedarfs zur Deckung des Kühlbedarfs deutlich reduziert wird. Bei einer spezifischen Kühlleistung von 90 W/m² kann die erforderliche Kühlleistung zu jedem Zeitpunkt über das Kühlsystem eingebracht werden, wobei die maximal erforderliche Leistung bei 80 W/m² liegt. Bei einer spezifischen Kühlleistung von 30 W/m² befindet sich das Kühlsystem fast über die ganze Kühlperiode hinweg an der möglichen Leistungsgrenze. Das bedeutet zwar, dass das System mit einem hohen Auslastungsgrad gefahren wird, allerdings die Wärmespitzen nicht zu jedem Zeitpunkt abgeführt werden können. Ungeachtet dessen ergibt sich dennoch ein hoher thermischer Komfort. Wird die spezifische Kühlleistung mit 90 W/m² angesetzt, so kann die Kühllast zu jedem Zeitpunkt eingebracht werden, wobei die maximal erforderliche raumbezogene Leistung bei entsprechend Abbildung 17 bei 2500 W, also umgerechnet bei 80 W/m² liegt. Es zeigt sich also, dass mit einer spezifischen Leistung von 90 W/m² zwar noch Kühllast-Reserven vorhanden sind, das System aber grundsätzlich überdimensioniert ist bzw. nur an wenigen Tagen im Jahr erforderlich ist. Auch beim Klimaszenario 1,5 °C zeigt sich, dass Tage mit hohen erforderlichen Leistungsspitzen 80 W/m² in Ihrer Anzahl begrenzt sind. Es ist daher naheliegend ein System zu wählen dessen spezifische Leistung zwischen diesen beiden Werten liegt zu wählen wobei zu dessen thermisches Verhalten auch hinsichtlich zukünftiger Klimaszenarien tauglich sein sollte.
Abbildung 18 zeigt den Kühllastverlauf für eine spezifische Leistung von 60 W/m², die mit einer großen Bandbreite am Markt verfügbarer Systeme realisiert werden kann. Auch hinsichtlich künftiger Klimaentwicklungen ist eine spezifische Kühlleistung von 60 W/m² geeignet um auf der einen Seite einen wirtschaftlichen und effizienten Kühlbetrieb zu realisieren (Abbildung 19) und auf der anderen Seite einen hohen thermischen Komfort zu gewährleisten.
Fazit
Zusammenfassend lassen sich aus der Gegenüberstellung des thermischen Komforts passiver und aktiver Maßnahmen folgende Erkenntnisse ableiten: Auch bei passiven Varianten ist mit Nachtlüftung ein akzeptabler Diskomfort realisierbar. Neue Fenster in Kombination mit einer Innendämmung führen ohne Nachtlüftung zu hohem Diskomfort. Anders sieht dies aber mit Nachtlüftung aus, da liegt mit Fenster Neu + Innendämmung + Nachtlüftung ein akzeptabler Diskomfort vor. Beim Betrieb einer Kühldecke liegt nahezu kein thermischer Diskomfort mehr vor. Auch mit raumlufttechnischer Anlage ist dies realisierbar. Mit einer Klimaanlage oder der Kombination von Kühldecke und raumlufttechnischer Anlage kann ein thermischer Diskomfort ebenfalls ausgeschlossen werden.
Positiv über den Komfort ausgedrückt, kann mit Nachtlüftung in Kombination mit einem geeigneten Sonnenschutz ein akzeptabler Komfort realisiert werden. Dies gilt auch bei der Sanierung der Fenster und/oder der Applikation einer Innendämmung. Mit einer raumlufttechnischen Anlage (ohne Kühlung) kann ein akzeptabler, mit Kühldecke oder Klimaanlage kann – mit doch recht erheblichen Investitions- und Betriebsaufwendungen – ein sehr hoher thermischer Komfort realisiert werden.
Welche Maßnahmen für welches Gebäude am besten geeignet sind, lässt sich mit individuellen Simulationen gut bestimmen – damit auch in Hitzewellen produktiv gearbeitet wird.
Literatur
[1] https://www.zamg.ac.at/cms/de/klima/klimauebersichten/jahrbuch (zuletzt abgerufen am 29.04.2020, 17.56)



















